Questo articolo affronta l’effetto psicologico della pandemia e della quarantena per Covid-19 sulle famiglie.
E’ frutto delle riflessioni sorte a seguito di un questionario sottoposto a più di 1000 genitori
Come sono state le famiglie italiane dal punto di vista psicologico durante i mesi di lockdown?
Che impatto emotivo ha avuto il Covid-19 e la conseguente quarantena sui bambini e sugli adolescenti italiani?A questi e ad altri interrogativi rispetto alla salute mentale degli italiani risponde questa ricerca.
Questo studio è stato progettato da un team di ricercatori, formato da psicologi e psichiatri di diverse città italiane, costituitosi proprio durante il lockdown, e che attraverso i moderni canali di comunicazione telematica e tecnologica, ha formulato un questionario online che potesse comprendere molteplici e complessi aspetti psicologici connessi all’emergenza da coronavirus, raccogliendo la prospettiva dei genitori di bambini e adolescenti italiani.
Il progetto affonda le radici nei numerosi interrogativi che il gruppo di ricerca si è posto, dopo le prime due settimane di quarantena nazionale a seguito del Dpcm del 11/03/2020 “Decreto #IoRestoaCasa“, in particolare, dopo aver evidenziato nei propri pazienti regressioni nella sintomatologia rispetto al disturbo specifico, ma anche reazioni nuove quali disorientamento, incubi, anedonia, agitazione, rifiuto dei compiti a distanza, aspetti mai evidenziati negli stessi soggetti, precedentemente all’emergenza coronavirus, oppure problematiche esacerbate nel corso del lockdown.
L’obiettivo specifico della ricerca pertanto è stato quello di indagare gli stati emotivi dei bambini/adolescenti e dei genitori legati all’emergenza sanitaria Covid-19 e alla conseguente quarantena collettiva, e come queste reazioni incidevano sulla relazione genitori-figli, quali fattori di rischio e di protezione intervenivano nella gestione dello stress e quali strategie di coping venivano attuate sia dai bambini che dagli adulti per fronteggiare eventuali disagi connessi alla quarantena e alla pandemia.
L’ipotesi iniziale era che le famiglie sottoposte alla quarantena per Covid-19 potessero trovarsi in un processo nel quale si alternavano fasi di crisi, fasi di funzionamento e fasi di adattamento, tra cui l’acquisizione di valori e l’esperienza della crescita post-traumatica.
Alla ricerca hanno partecipato oltre 1000 genitori, un campione molto numeroso e rappresentativo di una parte importante della popolazione, che ha permesso ai ricercatori di raccogliere una mole importante di dati sul benessere psicologico di genitori e figli durante il lockdown.
I risultati parlano chiaro: il Covid-19 ha generato sofferenza psichica nei bambini e negli adolescenti.
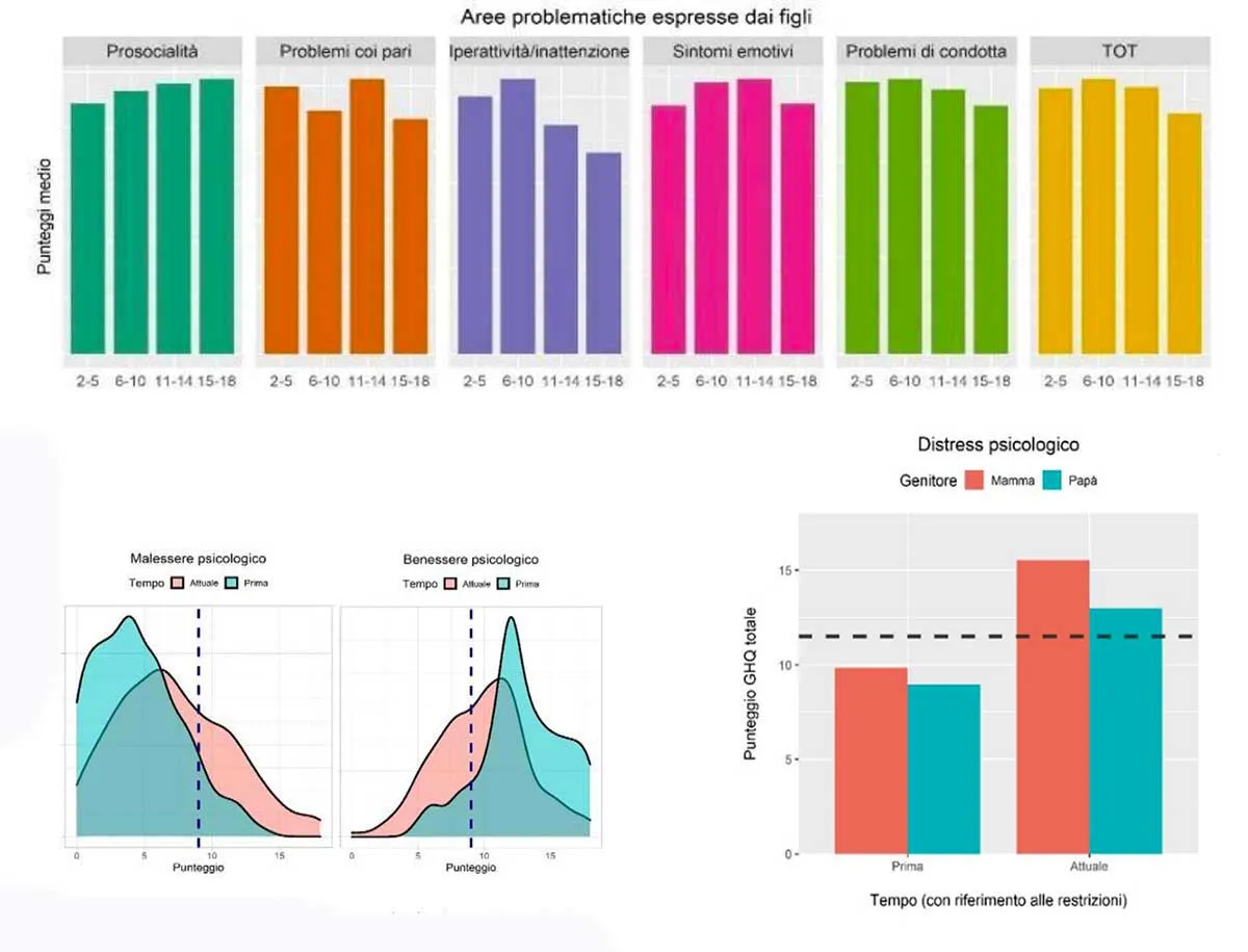
I punteggi ottenuti alla scala SDQ (Strengths and Difficulties Questionnaire), che valuta i punti di forza e debolezza dei bambini e ragazzi, sono stati suddivisi per quattro fasce di età dei figli: 2-5, 6-10, 11-14, 15-18 anni.
Come si nota nel grafico (Figura 1), la prosocialità risultava correlata all’età, con i bambini più piccoli maggiormente deficitari in quest’area.
Nella relazione coi pari, le fasce d’età più colpite sono risultate quella 2-5 e quella 11-14 anni. Nell’iperattività e nella condotta, nei bambini sotto i 10 anni sono risultate maggiori problematiche rispetto ai più grandi. Le fasce d’età 6-10 e 11-14 anni presentavano maggiori sintomi di natura emotiva.
Anche sul totale, la fascia d’età più grande risultava meno compromessa di quelle dei minori più piccoli. In generale sembrerebbe che l’età abbia effetti diversi sul disagio psicologico dei minori, in particolare nell’area della socialità, della relazione con i pari e della condotta, probabilmente a causa del fatto che i bambini di tali fasce di età hanno bisogno del contatto diretto per sviluppare e mantenere competenze sociali, a differenza dei bambini più grandi che hanno comunque conservato, seppur con dei limiti, la funzione sociale tramite internet o chat.
Stress e malessere anche per i genitori. Le mamme più colpite dei papà.
Sono stati confrontati i punteggi riportati alla scala GHQ (General Health Questionnaire) che misura il benessere ed il disagio psicologico, compilata secondo la propria condizione PRIMA della quarantena e DURANTE la quarantena. Come si osserva nei grafici in Figura 2, il malessere (grafico a sinistra) è aumentato durante la quarantena, mentre il livello percepito di benessere (grafico a destra) è diminuito.
Anche la scala dello stress percepito (PSS; Perceived Stress Scale) misurata durante la quarantena conferma questo quadro di “sofferenza” psicologica, con punteggi che vanno da moderati (14-27 punti) a elevati (oltre 27 punti).
Per quanto riguarda il confronto tra mamme e papà (compilatori del questionario), comparando i punteggi ottenuti sul totale del GHQ (come punteggio di disagio generale), non sono emerse differenze significative PRIMA della quarantena, mentre è risultato significativo il confronto dei punteggi ottenuti DURANTE la quarantena. Come si può osservare nel grafico, infatti, per entrambe le figure genitoriali si è registrato un aumento del distress psicologico (misurato come totale del GHQ), ma questo aumento è risultato essere maggiore per le mamme che per i papà. Da notare come la media dei punteggi sia per le mamme che per i papà ha superato il punteggio soglia di 12 punti, indicato dalle linee guida GHQ come limite per la presenza di un livello di distress tale da causare preoccupazione clinica.
Quest’ultimo dato relativo alle differenze tra madri e padri, seppur significativo, va comunque considerato con cautela per la differenza di numerosità delle mamme (94% del campione) rispetto ai papà (6% del campione) nella partecipazione alla ricerca.
Fattori di impatto sulla relazione genitori-figli
È stato analizzato il livello di disagio manifestato dai minori in relazione alla condizione lavorativa dei genitori ed è emersa una minore sintomatologia psicologica riportata per i figli di genitori che hanno perso il lavoro a causa di Covid-19, mentre sembrerebbero manifestare sintomatologia peggiore i figli di genitori che hanno continuato a lavorare fuori casa.
Questo dato, probabilmente, può essere spiegato con un maggior tempo passato a casa dai genitori senza lavoro o in cassa integrazione, che potrebbe aver compensato un maggiore stress dovuto alla peggiore condizione economica.
Invece, l’assenza dei genitori da casa ha pesato sulla condizione psicologica dei figli, sia a causa della mancanza di figure di accudimento stabili in un periodo senza scuola sia a causa del fatto che i genitori che hanno continuato ad andare fuori casa per lavoro sono stati esposti maggiormente a rischio contagio e quindi a maggiore stress, soprattutto per coloro che hanno lavorato in prima linea, come i medici e gli infermieri negli ospedali.
Un dato degno di interesse clinico e sociale è che il 68% dei genitori abbia evidenziato la presenza di un cambiamento durante la quarantena nella relazione con il/la proprio/a figlio/a, di cui il 50% ha riportato un “miglioramento” e i restanti un “peggioramento”.
Alcuni genitori hanno specificato i “miglioramenti” percepiti nella relazione con i propri figli, riferendo i seguenti aspetti: per alcuni, avere “più tempo” a disposizione ha favorito la relazione; altri hanno riportato che il “dialogo” e la “vicinanza” sono aumentati e hanno determinato un’evoluzione positiva nel rapporto. Tra i miglioramenti vengono citate anche la “conoscenza” e la “comprensione” reciproca, la “complicità” e la “scoperta”.
Altri ancora hanno identificato una maggiore intensità relazionale nella condivisione di attività, come il “gioco” e i “compiti”.
I genitori che, invece, hanno riferito un “peggioramento” nella relazione lo riconducono, per il 40%, a difficoltà emotive o comportamentali del/lla figlio/a.
Effetti dello spazio disponibile in casa sul benessere psicologico di bambini e adolescenti
Il tipo di abitazione in cui si è trascorso il lockdown è risultato essere un predittore importante del livello di difficoltà manifestato dai minori. Come mostrato nel grafico in Figura 5, minori che abitano in appartamenti senza spazi aperti (0) mostrano livelli di disagio psicologico maggiori degli altri, in particolare di chi ha passato il periodo di isolamento in appartamenti dotati di piccoli (1-2) o grandi spazi aperti (3), o in case indipendenti con ampi spazi aperti (4).
Le osservazioni iniziali circa l’impatto del Covid-19 sulle famiglie hanno trovato riscontro nei risultati dell’indagine.
“Molte famiglie sia per il fenomeno del contagio sia per l’esperienza di isolamento e convivenza “forzata” stanno sperimentando vissuti di preoccupazione, percezione di vulnerabilità, angoscia, paura per il futuro, frustrazione e impotenza. Tutte forme di apprensione che, se prima di questo momento storico rimanevano latenti o compensate da alcuni fattori di protezione, con cui si riuscivano a gestire le fatiche quotidiane, ora stanno emergendo e si stanno amplificando… Di conseguenza la situazione attuale che sta mettendo in discussione le stabilità delle famiglie può essere vissuta con sofferenza da parte di parecchi bimbi.” (Spina G., 2020, “Il coronavirus agli occhi dei bambini”).
Questa è una delle considerazioni iniziali avanzate osservando le reazioni che nell’immediato stavano avendo bambini e genitori sia in ambito clinico che pubblico, osservazioni che hanno spinto poi i ricercatori a esplorare con metodi scientifici il fenomeno. I risultati di questo studio ad oggi costituiscono un dato importante per consentire a psicologi e psicoterapeuti – auspicabilmente insieme alle istituzioni – di strutturare interventi mirati per migliorare la qualità della vita delle famiglie italiane che in seguito al Covid-19 hanno sviluppato disagi psicologici significativi.
La ricerca ha anche esplorato le varie strategie di fronteggiamento dell’avversità – Covid19 attivate dai genitori, come ad esempio il supporto famigliare ma anche un atteggiamento accettante o ottimistico.
Questo studio apre interessanti prospettive sulle risorse psico-emotive e contestuali dei genitori, e su quei fattori che, in modo quasi controintuitivo, proprio nella situazione di difficoltà, hanno condotto a esiti di trasformazione positiva e non solo di ripiegamento depressivo o ritorno alla normalità.
—
Ringrazio per la concessione alla pubblicazione i relatori e curatori:
Giulia Spina1, Flavia Cristofolini2, Francesca Giordano3, Camilla Gnagnarella4, Silvia Grazioli5, Marta Landoni6, Cristina Viggiani7, Luca Simione8
1 Psicologa dell’età evolutiva, Psicoterapeuta in formazione (Istituto PSIBA), Referente equipe DSA accreditata, Università Cattolica di Brescia, Università degli Studi di Brescia.
2 Psicologa specializzata in Psicologia Giuridica e Psicodiagnostica, Psicoterapeuta Cognitivo-Comportamentale, Università Cattolica del Sacro Cuore di Brescia e Milano.
3 Psicologa e Psicoterapeuta dell’età evolutiva, Unità di Ricerca sulla Resilienza del Dipartimento di Psicologia dell’Università Cattolica del Sacro Cuore Milano.
4 Medico Specializzanda In Psichiatria, Dipartimento di Neurologia e Psichiatria, Sapienza, Università di Roma.
5 Psicologa, laureanda in Biostatistica. Laboratorio di Psicopatologia dello Sviluppo (IRCCS E. Medea, Associazione La Nostra Famiglia, Bosisio Parini); Istituto Europeo per lo Studio del Comportamento Umano (IESCUM), Milano; Dipartimento di Statistica, Università degli Studi di Milano-Bicocca.
6 Psicologa e Ricercatrice, Centro di Ricerca sulle Dinamiche Evolutive e Educative (Cridee), Unità di Ricerca sulla Resilienza del Dipartimento di Psicologia dell’Università Cattolica di Milano, Parent Infant Research Center (PIRi) a Melbourne.
7 Psicologa Clinica e della Salute, Psicoterapeuta secondo il Modello Strutturale Integrato, Formatrice nei corsi ASACOM riconosciuti dalla Regione Abruzzo.
8 Psicologo e Ricercatore presso Istituto di Scienze e Tecnologie della Cognizione, CNR, Roma.










